Cognitive Science 276
Neuroimaging
FALL 2006 (current/latest version:
here)
Professor:
Marty Sereno -- sereno -AT- cogsci ucsd edu
class: MWF 10:00-11:00, CSB 180 (new room: was CSB 003!)
class make-ups: F 11:00-12:00, CSB 180 (Sep30, Oct6, Oct20, Oct27)
Required Readings:
Huettel, S., A.W. Song, and G. McCarthy (2004)
Functional Magnetic Resonance Imaging
Sereno Lecture Notes
(63-page PDF [9MB, updated: 9/06] -- print in chunks, single-page links below)
Recommended Readings:
Buxton, R. (2002)
Introduction to Functional Magnetic Resonance Imaging (2ed. due 2007)
Additional journal articles below
Assignments:
Homework #1
(due 10/20/06, paper printout, incl. code and graphs)
Homework #2
(due 12/01/06, paper printout, incl. code and graphs, brain image is
here)
typo in Quest 9:
"when y is even" should be "when k-subscript-y is even" (two occurrences)
Final Paper: 10 page literature review on narrow methodological topic
(start search in
Magnetic Resonance in Medicine, Neuroimage, Human Brain Mapping)
Description and Prerequisites:
This course is an introduction to structural and functional MRI,
fMRI time series analysis, cortical-surface based data analysis, and
the neural basis, recording, and localization of EEG and MEG signals.
Although this course does not assume a background in linear algebra,
electromagnetism, the Fourier transform, and convolution, students will
be expected to develop a solid grasp of the key equations underlying
the different neuroimaging methods and solve simple Matlab problems.
There are two other neuroimaging courses at UCSD. The first is Tom Liu's
Bioengineering
280A -- Principles of Biomedical Imaging, also Fall 2006, which
provides a stronger mathematical foundation in the fundamentals of the
Fourier transform and linear systems theory and covers ultrasound and
CT in addition to MRI. The second is the team-taught three-quarter SOMI 276 -- School of Medicine fMRI
Course in Winter and Spring 2007 offered by the Radiology Department
and organized by David Dubowitz and Frank Haist.
Lecture Topics: Fall 2006 --
this page: http://cogsci.ucsd.edu/~sereno/276/
First class -- Fri, Sep 22, 10:00 AM, CSB 180 --
Huettel Chap. 2 (Buxton Chap. 3,6)
- Introduction to Neuroimaging -- MRI, fMRI, EEG, MEG
- MRI hardware
Week of 9/25 -- MRI Signals I --
Huettel Chap. 3 (Buxton Chap. 4,7)
Week of 10/2 -- MRI Signals II --
Huettel Chap. 5,9 (Buxton Chap. 4,8)
Week of 10/9 -- Fourier Transform, Slice Selection --
Huettel Chap. 4 (Buxton Chap. 5,10)
Week of 10/16 -- MRI Image Formation --
Huettel Chap. 4 (Buxton Chap. 5,10)
Week of 10/23 -- Image Reconstruction, Structural Pulse Sequences --
Huettel Chap. 4 (Buxton Chap. 11)
Week of 10/30 -- Functional MRI, Artifacts, Correction --
Huettel Chap. 6,7,8,10 (Buxton Chap. 12,16,17)
Week of 11/6 -- Diffusion and Perfusion, General Linear Model --
Huettel Chap. 11, 12 (Buxton Chap. 9, 15)
Week of 11/13 -- Surface-Based Methods and Cortical Mapping --
Online PDFs
Week of 11/20 -- Sources of EEG/MEG --
Huettel Chap. 15, Online PDFs
Week of 11/27 -- EEG/MEG Localization --
Online PDFs
READINGS
Math Resources:
MATLAB Primer
Free Software:
FreeSurfer (new MGH)
FreeSurfer (older UCSD retinotopy-enabled)
AFNI
FSL
SPM2
Web MRI Resources:
Hornak, J.P. (1996-2002)
The Basics of MRI
D.M. Higgins (2006)
K-space Tool
Jody Culham (2002)
fMRI for Dummies
Carl D. Gregory (1998)
MRI Artifact Gallery
Neuroimaging Books:
Buxton, R. (2002)
Introduction to Functional Magnetic Resonance Imaging
Huettel, S., A.W. Song, and G. McCarthy (2004)
Functional Magnetic Resonance Imaging
Haacke, E.M., R.W. Brown, M.R. Thompson, and R. Venkatesan (1999)
Magnetic Resonance Imaging
Bernstein, M.A., K.F. King, and X.J. Zhou (2004)
Handbook of MRI Pulse Sequences
Liang, Z.-P. and P.C Lauterbur (1999)
Principles of Magnetic Resonance Imaging
Nishimura, D.G. (1996)
Principles of Magnetic Resonance Imaging [available from author]
Hashemi, R.H., W.G. Bradley, C.J. Lisanti (2004)
MRI: The Basics
Nunez, P.L (1981)
Electric Fields of the Brain
Background:
Bracewell, R.N. (2000) The Fourier Transform and its Applications
Oppenheim, A.V. and A.S. Willsky (1997) Signals and Systems
Karu, Z.Z. (1995) Signals and Systems Made Ridiculously Easy
Wangsness, R.K. (1986) Electromagnetic Fields
Greenberg, M.D. (1978) Foundations of Applied Mathematics
Koch, C. and I. Segev (1998) Methods in Neuronal Modeling
Johnston, D. and S.M.-S. Wu (1995) Foundations of Cellular Neurophysiology
[updates of following papers in progress]
Pulse Sequence Papers:
QUIPSS II
Turbo ASL
Spherical Navigators
SENSE
SPACE RIP
Inverse Method Distortion Correction
Point-Spread Function Mapping Distortion Correction
MRI Data Analysis Papers:
Estimation, and Predictability
Detection, Estimation, and Predictability
3dDeconvolve
Visual Mapping Papers:
Analysis of Retinotopy
Human Visual Areas
Visual Mapping Review '98
Visual Mapping Review '05
Retinotopy Step-by-Step
Human V1
Human V3A
Ipsilateral Representation
Human V4
Human V6
Human V7
Human V8
Human MT/MST
Human LIP
Human VIP Multisensory
Visual Tracking
Frontal Maps
Auditory Mapping Papers:
Auditory Phase-Map
Somatosensory Mapping Papers:
Somatosensory Phase-Map
Dale and Sereno, 93:(cortical surface, EEG/MEG inverse)
manuscript
(equations more readable), or
journal scan
Cortical Surface Reconstruction Papers:
Segmentation and Reconstruction
Inflation, Flattening, Coordinates
Inter-Subject Morphing
Cortical Thickness
Topology Repair
Montreal Cortical Surface Method
Van Essen Surface-Based Atlas
EEG and MEG Localization Papers:
fMRI/EEG Attention
Noise Sensitivity Normalized Inverse--Data
Noise Sensitivity Normalized Inverse--Models
Mapping the Conductivity Tensor
N400 Localization
Intracortical EEG Papers:
Surface Plus Laminar Analysis
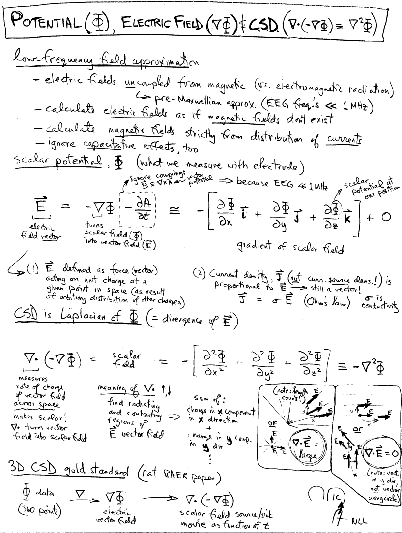
3D CSD of Rat BAER
last modified: September 20, 2006
Scanned class notes (links above) © 2006 Martin I. Sereno.
Don't redistribute notes without attribution and link to this page.
Supported by NSF 0224321.