Measures of Dispersion
What they are:
They are measures that tell you how similar the scores are in the distribution. Or to put it differently, they tell you how typical the typical score (central tendency) is.
For nominal variables we can use the
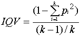
INDEX OF QUALITATIVE VARIATION (IQV)

Where k is the number of categories and pI is the proportion of cases in the ith category.
For ordinal and interval/ratio level variables we often use the
INTERQUARTILE RANGE (IQR)
![]()
IQR is the difference between the value of the 75th and the 25th percentile (or the first and the third quartile, hence the name).
For interval/ratio level variables the most commonly used measure of dispersion is the range and the standard deviation..
RANGE
The difference between the largest and the smallest value.
![]()
VARIANCE AND STANDARD DEVIATION
The variance is the average squared deviation from the mean. The standard deviation is the square root of the variance.

![]()
Comment: in certain textbooks you often find a slightly different formula for the variance and, as a result, for the standard deviation.

This formula is the proper one when the standard deviation in a sample is used to calculate sampling error. Incidentally, SPSS uses this particular formula to calculate variances and standard deviations.
|
Level of Measurement |
IQV |
IQR |
RANGE |
VARIANCE/ STANDARD DEVIATION |
|
Nominal |
Yes |
No |
No |
No |
|
Ordinal |
No |
Yes |
Yes |
No |
|
Interval/Ratio |
No |
Yes |
Yes |
Yes |